ورقة بيانات محول التوزيع
ورقة بيانات محول التوزيع: فهم المواصفات الأساسية
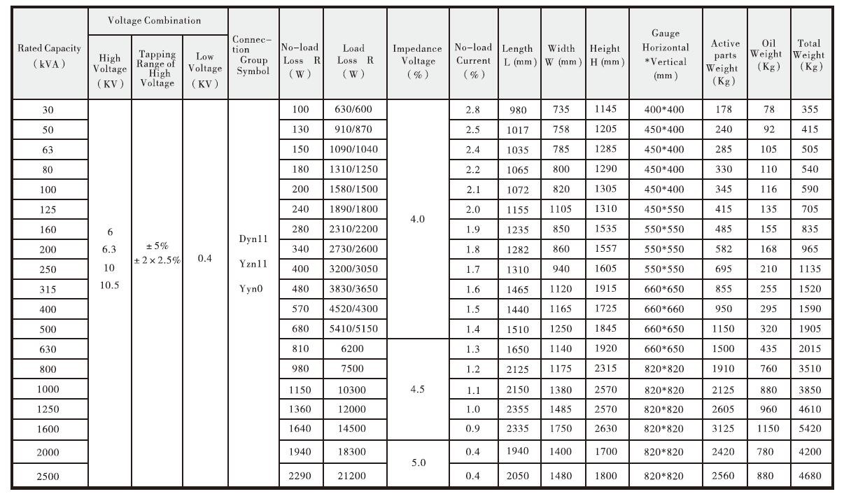
يعد محول التوزيع مكونًا أساسيًا في شبكة توزيع الطاقة. إنه ينزل الكهرباء ذات الجهد العالي من خط النقل إلى جهد عمل مناسب للاستخدام السكني والتجاري. تحتوي ورقة بيانات محول التوزيع على معلومات مهمة حول مواصفاته الفنية التي تساعد في اختيار المحول المناسب للتصميم الكهربائي.

القوة الكهربائية:يشير تصنيف الجهد للمحول إلى الجهد الذي يعمل به بشكل مستمر. من الضروري اختيار محول ذو تصنيف الجهد الصحيح لمنع تلف المعدات وضمان الأداء الأمثل.
تصنيف كيلو فولت أمبير:يشير تصنيف KVA إلى قدرة المحول على توصيل الطاقة. إنها معلمة حاسمة لأنها تحدد عدد الأحمال التي يمكن للمحول توفير الطاقة لها. يعد اختيار محول ذو تصنيف KVA مناسب أمرًا ضروريًا لمنع التحميل الزائد وتلف المعدات.
معاوقة:تعد مقاومة المحول أمرًا بالغ الأهمية لأنها تحدد القدرة على تنظيم الجهد من خلال توفير المقاومة للتيار الكهربائي. يتم تمثيلها كنسبة مئوية ويمكن أن تتراوح من 2٪ إلى 8٪. يعد اختيار محول بمستوى المعاوقة المناسب أمرًا ضروريًا لحسن سير عمل المحول.
فئة العزل:تشير فئة العزل للمحول إلى مستوى العزل المقدم للمحول. يعد اختيار فئة العزل المناسبة أمرًا بالغ الأهمية اعتمادًا على الموقع الذي تم تركيب المحول فيه (داخلي أو خارجي) والمخاطر المحتملة الموجودة.
كفاءة:تعد كفاءة المحول معلمة مهمة تحدد مقدار الطاقة المفقودة أثناء عملية التحويل. سيوفر المحول ذو الكفاءة الأعلى تكاليف الطاقة ويساهم في تقليل انبعاثات الكربون.
تصنيف التردد:يشير معدل تردد المحول إلى عدد الدورات في الثانية التي يعمل بها. من الضروري اختيار محول ذو معدل التردد الصحيح لأنه يمكن أن يسبب ضررًا إذا تم استخدامه خارج معدل التردد الخاص به.
الأبعاد والوزن:تعد أبعاد ووزن المحول من المواصفات الفنية الهامة للتأكد من ملاءمته بشكل صحيح للمساحة المخصصة وسعة الوزن لهياكل التركيب.
خاتمة
توفر ورقة بيانات محول التوزيع معلومات مهمة عن المواصفات الفنية للمحول اللازمة لاختيار المحول المناسب للتصميم الكهربائي. يعد تصنيف الجهد وتصنيف KVA والممانعة وفئة العزل والكفاءة وتقييم التردد والأبعاد والوزن من المعلمات الأساسية التي يجب مراعاتها عند اختيار المحول المناسب للأداء الأمثل لنظامك الكهربائي.

